Size: a a a

Physics.Math.Code

2021 May 22

YV

Yury Vorobyov in Physics.Math.Code
но не глобально ;)
источник

YV

Yury Vorobyov in Physics.Math.Code
если часы летят с ускорением, они будут улетать от локального времени
источник

YV

Yury Vorobyov in Physics.Math.Code
самое главное, что если записать в матричном виде (х',t') = A(x,t) , а потом взять обратное, то будет зеркальный вид, то есть будет соблюдаться самое главное - перемена мест наблюдателей в зеркальном виде
источник

ET

Ecl Thexx in Physics.Math.Code
Они все равно же не равноценные
источник

ET

Ecl Thexx in Physics.Math.Code
Один из наблюдателей ускоряется
источник

__

__-sergiko____ _ in Physics.Math.Code
Скажите пожалуйста,я решал эту задачу,тут получить реакции не протекают,это правда или нет?
источник

p

piter in Physics.Math.Code
вопрос.

вот доказано что пифагоровых троек бесконечно много

бесконечно ли много пифагоровых четвёрок, пятёрок, шестёрок, семёрок и т. д. то бесконечности. есть ли какой-то предел после которого N-ёрок не бесконечно?. понимаются нетривиальные N-ёрки, где все числа взаимно простые
источник

p

piter in Physics.Math.Code
а, всё-таки тупой вопрос, естественно бесконечно
источник

p

piter in Physics.Math.Code
или всё-таки не тупой? мне кажется что тупой, потому что в выражении вида

a₁² + a₂² + a₃³ + ... + an² = s²

по идее можно подобрать бесконечно разных квадватов, так чтобы их стороны были взаимо простыми
источник

В

Вадим in Physics.Math.Code
Если есть одна Пифагорова четвёрка -> есть бесконечное количество четвёрок (просто домножаются числа на один и тот же множитель). Вопрос, наверно, стоит немного иначе, про бесконечное количество "оригинальных" четвёрок, пятёрок и т.п.?
источник

p

piter in Physics.Math.Code
я говорю о примитивных тройках и четвёрках, где складываются квадраты взаимо простых чисел, например 3, 4, 5, но не 6, 8, 10
источник

p

piter in Physics.Math.Code
да, оригинальных
источник

p

piter in Physics.Math.Code
несократимых
источник

ET

Ecl Thexx in Physics.Math.Code
Ну, если среди троек (коих бесконечное число) можно выделить такие, что одно из слагаемых тоже тройка, то четверки по крайней мере существуют
источник

В

Вадим in Physics.Math.Code
Не факт, что числа из троек будут образовывать четвёрки. Какие-то - безусловно, но бесконечно ли мы будем встречать их? Это вопрос
источник

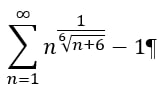
МЗ

Макс Заика in Physics.Math.Code
Подкиньте идею как подступиться к такому ряду и проверить его на сходимость. Дробь в степени
источник

A

Alexander in Physics.Math.Code
а она при этом не то чтобы сильно проявится. ну будет у вас в той ск в той точке константный сдвиг по времени - и что? у нас вон с европой то час разница, то два, и ничего, живём как-то. на физические явления она не повлияет.
источник

p

piter in Physics.Math.Code
говорят не сходится
источник

p

piter in Physics.Math.Code
в какой степени
источник

МЗ

Макс Заика in Physics.Math.Code
1 / (n+6)^(1/6)
источник