Size: a a a

Physics.Math.Code

2021 May 22

МЗ

Макс Заика in Physics.Math.Code
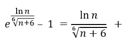
Это показатель степени n
источник

ГG

Глобгор Globgor... in Physics.Math.Code
Привести сперва страшилище к показательной функции
источник

p

piter in Physics.Math.Code
aaa
источник

p

piter in Physics.Math.Code
я думал так
источник

МЗ

Макс Заика in Physics.Math.Code
Экспоненте?
источник

ГG

Глобгор Globgor... in Physics.Math.Code
Как вариант
источник

A

Alexander in Physics.Math.Code
если грубую идею, то крокодила записываете как экспоненту от стремящейся к нулю величины, выцепляете из экспоненты главный член после единицы (это и будет подэкспоненциальное выражение), саму экспоненту оцениваете сверзу и снизу как один плюс константы на то выражение, получаете эквивалентность с рядом из того выражения. дальше - как обычно.
источник

МЗ

Макс Заика in Physics.Math.Code
ДА, так выражение попроще, спасибо)
источник

A

Alexander in Physics.Math.Code
а дальше вроде бы оно тупо больше, чем 1/(n+6), да и всё
источник

p

piter in Physics.Math.Code
есть идеи эффективной функции для нахождения корня целого числа? если корень не целое число то вернуть 0. то есть функция будет работать над рядом чисел 4, 9, 16, 25...
источник

ЛН

Лев Новиков... in Physics.Math.Code
если она умеет возвращать 0, то она работает для любых чисел
источник

p

piter in Physics.Math.Code
или проще говоря есть ли способ узнать что данное число квадрат целого числа?
источник

p

piter in Physics.Math.Code
в частности это упростило бы мои изыскания в области пифагоровых N-ёрок, т. к. не надо было бы проверять вообще все числа, а можно было бы просто проверить является ли корень суммы квадратов целым
источник

ЛН

Лев Новиков... in Physics.Math.Code
Ну, ОТА
Куда ещё проще-то
источник

p

piter in Physics.Math.Code
то есть?
источник

ЛН

Лев Новиков... in Physics.Math.Code
основная теорема арифметики
источник

p

piter in Physics.Math.Code
просто решение где используется библиотечная функция корня над реальными числами и корень приводится к целому числу неточен
источник

МЗ

Макс Заика in Physics.Math.Code
Если я правильно понял. А откуда такая оценка?
источник

A

Alexander in Physics.Math.Code
из дифференцируемости экспоненты и стремления этого крокодила к нулю. только ещё на константы надо умножить, например, на 0.5 и на 2, чтобы с двух сторон ограничить, для достаточно больших n.
источник

A

Alexander in Physics.Math.Code
насколько неточен? как велики исходные числа? библиотечная даёт неплохое приближение, дальше можно Ньютоном по необходимости.
источник