Size: a a a

Physics.Math.Code

2021 May 16

R🇷

Roman 🇷🇺🇬🇧🇫🇷... in Physics.Math.Code
но если написать в тупую c3=a3+b3 то да они могут на 1 отличаться
источник

R🇷

Roman 🇷🇺🇬🇧🇫🇷... in Physics.Math.Code
а, нет)
они же в сумме могут дать 19 даже,
что по модулю 10 = 9
но при этом с3 может не быть 9
тогда я не знаб
источник

ГG

Глобгор Globgor... in Physics.Math.Code
Ну, отдохните, переключитесь, потом вернетесь
источник

A

Andrew in Physics.Math.Code
В том прикол, что очень надо.
источник

A

Andrew in Physics.Math.Code
Но я вроде бы разобрался уже
источник

A

Alexander in Physics.Math.Code
ну у меня получается !x1*x2*!x4 + x1*x2*x4 + !x1*x3*x4 + x1*x3*!x4
кратчайшая ли она - хз. и мы ещё не определились, что означает сложение, и к какому виду надо приводить.
источник

A

Alexander in Physics.Math.Code
можно x3 * (x1 != x4) + x2 * (x1 == x4), но вам так вряд ли можно.
источник

R🇷

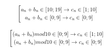
Roman 🇷🇺🇬🇧🇫🇷... in Physics.Math.Code
последняя попытка...
то есть по модулю 10 an+bn на одном интервале лежит
а вот cn может в разных, отличающихся на единицу лежать, верно?
источник

R🇷

Roman 🇷🇺🇬🇧🇫🇷... in Physics.Math.Code
источник

пп

п п in Physics.Math.Code
А вот в единичной системе счисления сумма цифр числа равна числу
источник

A

Alexander in Physics.Math.Code
единица - вздор, единица - ноль!
источник

пп

п п in Physics.Math.Code
Ничего не мешает мне обозначать единицу 1
источник

пп

п п in Physics.Math.Code
Это более эстетично и оправдано
источник

A

Andrew in Physics.Math.Code
Спасибо
источник

ГG

Глобгор Globgor... in Physics.Math.Code
Как cn  может быть 10кой?
источник

A

Alexander in Physics.Math.Code
обозначать можно как угодно, но она всё равно равна нулю - лемма Маяковского.
источник

JC

John Cooper in Physics.Math.Code
так.. умножение чисел есть умножение полиномов (с наворотами)
источник

A

Alexander in Physics.Math.Code
самая простая запись - тернарная:
y = (x1 == x4) ? x2 : x3;
только её в питоне нет.
источник

JC

John Cooper in Physics.Math.Code
ну и сложение.. и просто представление..
источник

A

Alexander in Physics.Math.Code
вот навороты всё и портят!
источник