Size: a a a

Physics.Math.Code

2021 May 16

ГG

Глобгор Globgor... in Physics.Math.Code
Ну а как иначе вылететь?
источник

TL

Tony Lutsenko in Physics.Math.Code
Переместиться за координату z=d
источник

ГG

Глобгор Globgor... in Physics.Math.Code
То есть преодолеть стенку с дырками
источник

TL

Tony Lutsenko in Physics.Math.Code
То есть преодолеть расстояние d в этом поле
источник

ГG

Глобгор Globgor... in Physics.Math.Code
Там такого не скащанно. Там написано "вылететь из конденсатора" то есть преодолеть поле и стенку
источник

TL

Tony Lutsenko in Physics.Math.Code
Можете считать стенку бесконечно тонкой
источник

ГG

Глобгор Globgor... in Physics.Math.Code
То есть атомарный слой решетки?
источник

ГG

Глобгор Globgor... in Physics.Math.Code
В которой сидят атомы и электроны, на которых можно рассеяться назад?
источник

ГВ

Геннадий Вернадский... in Physics.Math.Code
Спасибо!
источник

R🇷

Roman 🇷🇺🇬🇧🇫🇷... in Physics.Math.Code
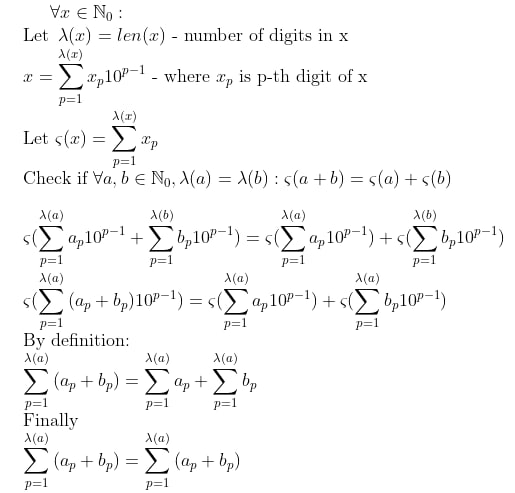
Есть вопрос
я тут на дилетантском уровне занимаюсь математикой, и вот столкнулся с проблемой и не понимаю почему так
Рассматриваю приведенную нижу функцию сигма.
Аналитически прихожу к тому, что функция аддитивна
но по факту, если подставлять числа - это нифига не так
Что я упускаю?
Я понимаю, что то тут связано с тем, что сумма цифр числа может быть больше 9, но по факту у меня получается что, например, ς(34) =/= ς(17+17)
источник

R🇷

Roman 🇷🇺🇬🇧🇫🇷... in Physics.Math.Code
источник

ГG

Глобгор Globgor... in Physics.Math.Code
p-адические числа?
источник

ГG

Глобгор Globgor... in Physics.Math.Code
Так правильно получается. Там нет аддитивности
источник

R🇷

Roman 🇷🇺🇬🇧🇫🇷... in Physics.Math.Code
нет, это для меня слишком сложно)
тут все просто у меня, ς это по сути функция возвращающая сумму цифр числа
источник

R🇷

Roman 🇷🇺🇬🇧🇫🇷... in Physics.Math.Code
где ошибка?
источник

ГG

Глобгор Globgor... in Physics.Math.Code
Ну вы же сами сказали: сумма цифр может быть не цифрой
источник

R🇷

Roman 🇷🇺🇬🇧🇫🇷... in Physics.Math.Code
да, просто меня смущает что аналитически сходится все
я думаю может тут ошибка где то
источник

ГG

Глобгор Globgor... in Physics.Math.Code
Ну ошибка в том, что  сумма цифр - не цифра.
источник

пп

п п in Physics.Math.Code
Слева не цифра
источник

пп

п п in Physics.Math.Code
(Ap+Bp)*10^(p-1) не есть цифра с нулями
источник