Size: a a a

Machine learning

2020 April 28

IN

Ivan Nazhestkin in Machine learning
yithian
Есть такое, но в этом случае, объективно, нужна вторая.)
Мне он по виду показался похожим на какой-то белый шум, честно говоря. Хотя, Доу-Джонс в лекциях был примерно такой же...
источник

D

Dmitry in Machine learning
Всем привет! Небольшой вопрос не по теме, вдруг кого-то заинтересует и он сможет помочь.
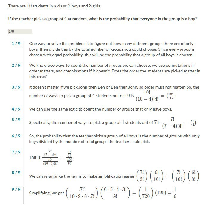
Решаю простую задачу по комбинаторики+теорвер:
источник

D

Dmitry in Machine learning
тут сама задача и уже решение
источник

D

Dmitry in Machine learning
Кто может объяснить на пальцах, почему так? Мне кажется, что ответ должен быть не 1/6, а 0.7(вероятность выбора пацана) в четвертой степени).
источник

D

Dmitry in Machine learning
Нам ведь нужно выбрать 4 человека из 10. В этих 10 человек, вероятность выбрать пацана — 0.7 и нам нужно 4 пацана подряд. Следовательно, вероятность — 0.7^4
источник

D

Dmitry in Machine learning
Я даже симуляцию маленькую написал %)
источник

D

Dmitry in Machine learning
источник

ZB

Zaphod Beeblebrox in Machine learning
неверно
источник

ZB

Zaphod Beeblebrox in Machine learning
это выбор без возвращения
источник

AA

Ali Abdullaev in Machine learning
@Mirileen В курсе data-analysis-applications пожалуйста уберите вообще неделю с анализом изображения, лучше неделю потратить на чтение книги глубинное обучение, где это все расписано в разы лучше, хотя и там уже что-то устарело. Я впервые за специализацию не хочу закрывать курс и отменяю подписку.
источник

AA

Ali Abdullaev in Machine learning
Мне кажется в обсужениях ко второй неделе уже одного https://www.coursera.org/learn/data-analysis-applications/discussions/weeks/2/threads/rJrFy5GOQpqaxcuRjsKa9w поста достаточно, чтобы понять, что со второй неделей явно что-то не так.
источник

n🐈

nikoinlove 🐈 in Machine learning
Dmitry
по теме не знаю, но тебе в симуляции помог бы random.choice() :)
источник

VN

Vlad Nykytenko in Machine learning
Dmitry
Всем привет! Небольшой вопрос не по теме, вдруг кого-то заинтересует и он сможет помочь.
Решаю простую задачу по комбинаторики+теорвер:
а что за курс?)
источник

D

Dmitry in Machine learning
Zaphod Beeblebrox
неверно
кажется, я понял, мы ведь выбрали одного и конечное число участников изменилось на n-1
источник

ZB

Zaphod Beeblebrox in Machine learning
+++
источник

n🐈

nikoinlove 🐈 in Machine learning
а еще после того как ты забираешь человека, из массива его надо удалять
источник

D

Dmitry in Machine learning
Vlad Nykytenko
а что за курс?)
источник

VN

Vlad Nykytenko in Machine learning
спасибо
источник

D

Dmitry in Machine learning
вспоминаю, что это такое )
источник

D

Dmitry in Machine learning
спасибо!))
источник