Size: a a a

2020 March 22

w

worstworstworst in Двач
источник

w

worstworstworst in Двач
вот так вот
источник

MR

Max Ridman in Двач
Галоперидол
Атас максимка любит хуй как сапер фугас
Твой батя тоже пидорас.Малина ягода атас
источник

w

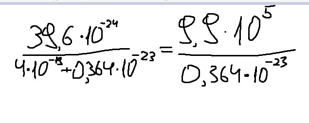
worstworstworst in Двач
это проеб или нет?
источник

S

Satana in Двач
Max Ridman
Твой батя тоже пидорас.Малина ягода атас
Глеб жеглов и володя шарапов рот хуём порвали максу не зря
источник

hh

hehe haha in Двач
ID:1004364578
я бы облизал
он же не острый даже?
источник

н

не тигр in Двач
хочется на ручки
источник

MR

Max Ridman in Двач
не тигр
хочется на ручки
источник

NK

ID:1004364578 in Двач
hehe haha
он же не острый даже?
Я люблю ножки просто
источник

TT

Temirlan Temirlan in Двач
Дайте слив инстасамки
источник

L

Loki in Двач
что так мало онлайн сидит
источник

TT

Temirlan Temirlan in Двач
Аук
источник

S

Satana in Двач
Глеб жеглов и володя шарапов рот хуём порвали максу не зря
источник

ĄB

Ąndrźej B in Двач
Артем Артем
А шо тут
Мода. Стиль.
источник

S

Satana in Двач
Temirlan Temirlan
Дайте слив инстасамки
Посмотри
источник

н

не тигр in Двач
а шо, photomath удалили?
источник

TT

Temirlan Temirlan in Двач
Где
источник

S

Satana in Двач
Ладно
источник

w

worstworstworst in Двач
не тигр
а шо, photomath удалили?
да...
источник

S

Satana in Двач
Ща посмотрю в лс
источник