Size: a a a

Physics.Math.Code

2021 June 24

A

Alexander in Physics.Math.Code
источник

A

Alexander in Physics.Math.Code
источник

MN

Midow Noname in Physics.Math.Code
Даже разбор есть?!!
источник

MN

Midow Noname in Physics.Math.Code
Можеш скинут?
источник

A

Alexander in Physics.Math.Code
никаких чудес. просто наборщики к нулям относятся спокойно, без придыхания. они для них всё равно ничего не значат.
источник

B

Bubunur in Physics.Math.Code
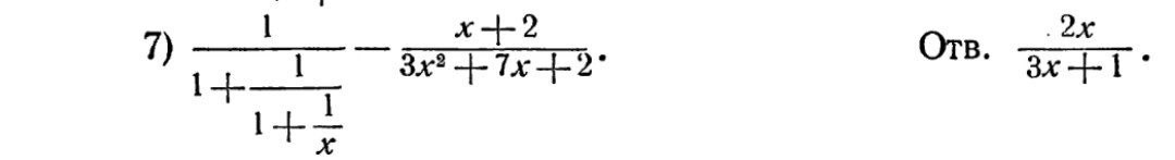
Помогите пожалуйста🙏нужно упростить. У меня получилось 3x^2+2x в числителе, 6x^2+5x+1 в знаменателе, если разложить на множители получится x(3x+2) в числителе, (2x+1)(3x+1) в знаменателе.

Пример из книги Туманова " Элементарная алгебра"
источник

A

Alexander in Physics.Math.Code
это в инструкторском мануале. но он к седьмому изданию. к последнему мануала пока нет.
мануал скинуть могу, он маленький. а само издание больше 50 метров, разрешение админов бы нужно.
источник

A

Alexander in Physics.Math.Code
может где обсчитались?
источник

MN

Midow Noname in Physics.Math.Code
Можно в лс
источник

MN

Midow Noname in Physics.Math.Code
Ненавижу механику👿
источник

B

Bubunur in Physics.Math.Code
Я пробовала решить 2 раза, не получилось, потом с братом ещё один раз и вот что получили.
источник

ДК

Даниил Киселёв... in Physics.Math.Code
Всё правильно получили)
источник

A

Alexander in Physics.Math.Code
а, не, это не вы ошиблись, это автор или типа граф пожадничал: нужен ещё один уровень в левой цепной дроби.
источник

A

Alexander in Physics.Math.Code
ок, кину, пусть банят
источник

V

Vsevolod in Physics.Math.Code
Всем привет. Не можете подсказать вдохновляющую биографию какого-то значимого ученого. Желательно чтобы эта книгу была не в переводе
источник

MN

Midow Noname in Physics.Math.Code
Можно феймана
источник

V

Vsevolod in Physics.Math.Code
Читал)
источник

A

Alexander in Physics.Math.Code
источник

A

Alexander in Physics.Math.Code
источник

B

Bubunur in Physics.Math.Code
Спасибо, что проверили
источник