Size: a a a

Physics.Math.Code

2021 May 23

TL

Tony Lutsenko in Physics.Math.Code
А теперь замените в интеграле
источник

TL

Tony Lutsenko in Physics.Math.Code
И проставьте пределы
источник

__

__-sergiko____ _ in Physics.Math.Code
источник

__

__-sergiko____ _ in Physics.Math.Code
Так лучше?
источник

TL

Tony Lutsenko in Physics.Math.Code
Замечательно
источник

TL

Tony Lutsenko in Physics.Math.Code
То, что нужно
источник

__

__-sergiko____ _ in Physics.Math.Code
теперь R^2 и m и pi константа интегрирую относительно синуса,так?
источник

__

__-sergiko____ _ in Physics.Math.Code
?
источник

__

__-sergiko____ _ in Physics.Math.Code
Я же правильно понял?
источник

TL

Tony Lutsenko in Physics.Math.Code
Да
источник

__

__-sergiko____ _ in Physics.Math.Code
Спасибо большое.
источник

TL

Tony Lutsenko in Physics.Math.Code
Когда тела объемные, или когда плотность будет отличаться, тогда будет немного сложнее
источник

TL

Tony Lutsenko in Physics.Math.Code
Но в целом процесс похожий
источник

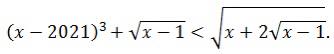
A

Andrey in Physics.Math.Code
Здравствуйте. Дайте идею, что в данном случае делать. ОДЗ написал.
источник

ГG

Глобгор Globgor... in Physics.Math.Code
t² = x - 1 попробуйте
источник

ХШ

Хумоюн Шавкатов... in Physics.Math.Code
Ну так по моему чуть сложно
источник

ГG

Глобгор Globgor... in Physics.Math.Code
А что сложно?
источник

ПА

Пётр Алексеев... in Physics.Math.Code
Господин Four Kings намекнул вам, что справа полный квадрат
источник

ГG

Глобгор Globgor... in Physics.Math.Code
Какой вы наблюдательный!
источник

ПА

Пётр Алексеев... in Physics.Math.Code
И не говорите
источник