Size: a a a

Physics.Math.Code

2021 May 21

МК

Максим Коробов... in Physics.Math.Code
Окай. Переформулирую. Пусть есть произвольное линейное пространство со скалярным произведением. Мы в нем выбрали некоторую ортонормированную тройку, обозвали ее правой. Верно ли что для любой пары а и b из того же подпространства, что и тройка векторное произведение будет равно |a x b| = |a| |b| sin alpha.
источник

МЗ

Макс Заика in Physics.Math.Code
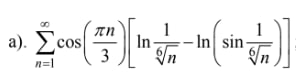
Я с помощью ряда Маклорена преобразовал общий член, у меня вышло, что предел отношения общего члена к ряду Дирихле с a = 1/3 равен 1/27, т.е. ряд расходится. Но, как мне кажется, он должен сходиться. Ни один калькулятор не может проверить этот ряд на сходимость...
источник

TL

Tony Lutsenko in Physics.Math.Code
Спасибо, мы шутим о дифференциальных уравнениях
источник

ГG

Глобгор Globgor... in Physics.Math.Code
Там ряд знакопостоянный получается?
источник

МЗ

Макс Заика in Physics.Math.Code
Да
источник

МЗ

Макс Заика in Physics.Math.Code
Вот, что я насчитал
источник

ГG

Глобгор Globgor... in Physics.Math.Code
Не уверен что тут такие оценки будут валидны
источник

МЗ

Макс Заика in Physics.Math.Code
при условии, что n стремится к inf. У нас в примерах такой же приём используется
источник

ГG

Глобгор Globgor... in Physics.Math.Code
Покажите
источник

МЗ

Макс Заика in Physics.Math.Code
Только тут украинский
источник

МЗ

Макс Заика in Physics.Math.Code
источник

ГG

Глобгор Globgor... in Physics.Math.Code
Ааа, эквивалентные ряды. Окей
источник

AR

Andrew Redin in Physics.Math.Code
?
источник

МЗ

Макс Заика in Physics.Math.Code
Я бы написал, что он расходится, да и всё, но я уверен, что он сходится, потому что в следующем задании нужно проверить на абсолютную сходимость такой ряд)
источник

IP

Ivan P in Physics.Math.Code
это не вам
источник

С~

СД ~ in Physics.Math.Code
одно колено u-образной трубки короче другого. в трубку налили ртуть.в более длинное колено налили масло.определите на какой высоте масло. Если через равенство давлении то выходит ответ 13,3 но в ответе 27,6 чем обусловлено это, кто может подсказать?
Плотность( ртути 13600, масла 900)
источник

TL

Tony Lutsenko in Physics.Math.Code
А как вы решали?
источник

С~

СД ~ in Physics.Math.Code
Равенство
P1=P2
источник

TL

Tony Lutsenko in Physics.Math.Code
Покажите полное условие, нарисуйте рисунок
источник

С~

СД ~ in Physics.Math.Code
Забыл добавить по условию ртуть поднялась на 9мм
источник