Size: a a a

Physics.Math.Code

2021 May 20

__

__-sergiko____ _ in Physics.Math.Code
Как вы понимаете ,как писать,я просто не понимаю,блинннн
источник

__

__-sergiko____ _ in Physics.Math.Code
Спасибо
источник

MM

Mirumid Mirakbarov in Physics.Math.Code
я не знаю как это объяснить, кажется с опытом
источник

MM

Mirumid Mirakbarov in Physics.Math.Code
@sbesbesbe здесь еще шарит, может он объяснит
источник

__

__-sergiko____ _ in Physics.Math.Code
Спасибо.
источник

__

__-sergiko____ _ in Physics.Math.Code
@sbesbesbe,если Вам не трудно расскажите пожалуйста,как это происходит.
источник

__

__-sergiko____ _ in Physics.Math.Code
Извините,что беспокою,а для этой я хоты бы первое правильно записал
источник

ГG

Глобгор Globgor... in Physics.Math.Code
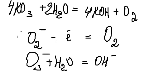
Одна из реакций - окисления, а другая восстановления?
источник

MM

Mirumid Mirakbarov in Physics.Math.Code
да
источник

P@

Polina @_@ in Physics.Math.Code
Подскажите пожалуйста кое-что по метрическим пространствам. 1) Условие Липшица - это достаточный, но не необходимый критерий того, чтобы отображение было равномерно непрерывным? 2) Если отображение не является равномерно непрерывным, то условие Липшица не выполняется?
источник

ГG

Глобгор Globgor... in Physics.Math.Code
В первой окисляется кислород, а во второй восстанавливается?
источник

BT

Bayram Tagiev in Physics.Math.Code
Подсчитайте кол-во кислорода
источник

MM

Mirumid Mirakbarov in Physics.Math.Code
точнее О2^-
источник

ГG

Глобгор Globgor... in Physics.Math.Code
Вы не подскажете как эта штука называется? Чтобы применить в фразе восстанавливается "эта штука"?
источник

MM

Mirumid Mirakbarov in Physics.Math.Code
надпероксид ион
источник

ГG

Глобгор Globgor... in Physics.Math.Code
Благодарю
источник

KY

Kirill Yartsev in Physics.Math.Code
Хз, наверное надо просто очень много реакций посмотреть и с опытом это придет
источник

__

__-sergiko____ _ in Physics.Math.Code
источник

MM

Mirumid Mirakbarov in Physics.Math.Code
здесь O3^- опять-таки и окисляется и восстанавливается, т.е. он будет в обеих полуреакциях
источник

ик

ирина кузьменкова... in Physics.Math.Code
А разве так можно, кстати говоря в уравнении не все коэф проставлены
источник