Size: a a a

2021 September 09

R

RoyekS in Linux Mint RU
а сколько там оперативки?
источник

R

RoyekS in Linux Mint RU
если 2Г то смысла нет ставить убунту
источник

A

AZEK1L in Linux Mint RU
источник

R

RoyekS in Linux Mint RU
аа
источник

s

shenmue in Linux Mint RU
Нет
источник

R

RoyekS in Linux Mint RU
120
источник

s

shenmue in Linux Mint RU
Да
источник

R

RoyekS in Linux Mint RU
а если это икс х
источник

R

RoyekS in Linux Mint RU
то есть выражение с иксом?
источник

R

RoyekS in Linux Mint RU
тогда получается 220-110Х
источник

s

shenmue in Linux Mint RU
Факториал 5
источник

R

RoyekS in Linux Mint RU
выносим х за скобку
источник

s

shenmue in Linux Mint RU
5!
источник

s

shenmue in Linux Mint RU
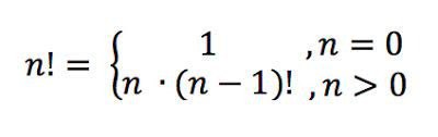
Ты знаешь что такое факториал?
источник

R

RoyekS in Linux Mint RU
не помню
источник

s

shenmue in Linux Mint RU
Ты гуманитарий?)
источник

R

RoyekS in Linux Mint RU
источник

s

shenmue in Linux Mint RU
Ну изи же
источник

R

RoyekS in Linux Mint RU
нет но факториал не помню ибо в работе с ним не ставлкивался
источник

s

shenmue in Linux Mint RU
Ну он в комбинаторики используеться в высшей математики
источник